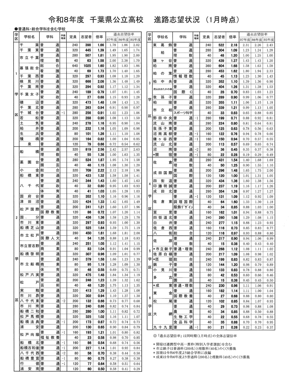
千葉県公立高校へ入学を目指す中学三年生の進路志望状況が、発表されました。
全体の公立高校志望倍率は、1.12倍です。
中学三年生の内、公立高校を志望するのは68.7%で、初めて70%を下回りました。
高倍率の高校・学科の上位5校は、下記の通りです。
< 1学区 普通科 >
検見川 2.08倍
市立千葉 1.81倍
県立千葉 1.66倍
磯辺 1.48倍
千葉東 1.39倍
< 2学区 普通科 >
県立船橋 2.56倍
薬園台 1.87倍
船橋芝山 1.64倍
市立松戸 1.61倍
八千代 1.43倍
< 全県 専門学科 >
千葉工業 電子機械 1.85倍
幕張総合 看護 1.73倍
県立船橋 理数 1.38倍
市立松戸 国際人文 1.35倍
千葉工業 電気 1.33倍
前回の問題 解答![]()
与謝野晶子の次の歌の○○○に入る漢字は、「利根川」です。
岩の群おごれと阻む力なし
矢を射つつ行く若き○○○
今日の問題
「千葉県公立高校 進路志望状況」において、千葉工業高校電子機械科の志望倍率は、2025年に比べて2026年は何倍上昇しているでしょう。


